原標題:
今年惠州普高計劃招生4.66萬人
除特定項目外,公辦普通高中學校主要面向學校屬地招生,嚴禁跨地市招生
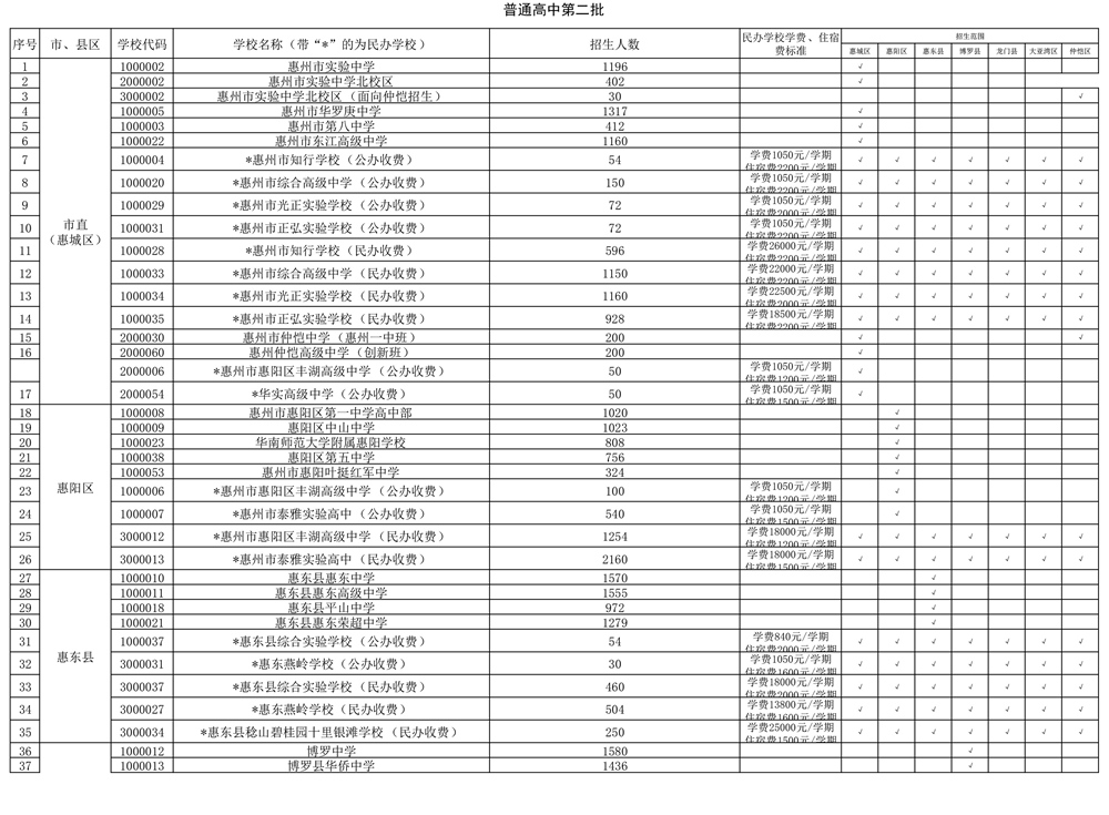
5月10日,惠州市教育局印發《關于做好2023年普通高中招生工作的通知》。2023年全市共有46所普通高中學校(含公、民辦)面向2023年初三畢業生招錄高一新生,計劃共招生46649人。其中:全市公辦普通高中學校(含民辦學校公辦收費生)計劃招生32365人,民辦學校民辦收費生計劃招生14284人。
今年主要變化是加大優質高中學位統籌力度
與去年相比,今年惠州普高招生的主要變化是加大了優質高中學位的統籌力度,除特定項目外,公辦普高主要面向學校屬地招生。而惠州民辦高中招生范圍保持不變,公辦生和民辦收費生均面向全市招生。
市教育局相關負責人介紹,為認真貫徹國家、省“十四五”縣域普通高中發展提升行動計劃,全力推動縣(區)普通高中協調優質特色多樣化發展,今年我市進一步規范高中招生管理,全面落實國家和省有關公、民辦普通高中同步招生和屬地招生政策要求,除特定項目外,公辦普通高中主要面向學校屬地招生。例如,博羅中學去年在博羅縣以外的其他縣(區)招50人,今年這一招生計劃取消。
同時,結合縣(區)普通高中教育發展實際需求,統籌普通高中優質學位供給,惠州一中(創新實驗班和外招生)、惠州中學(鴻鵠班和外招生)、市華羅庚中學國防班面向全市招生。其中,惠州一中創新實驗班招生100人、外招生200人、面向屬地惠城區招生1300人,惠州中學鴻鵠班招生100人、外招生200人、面向屬地惠城區招生1284人,市華羅庚中學國防班招生100人、面向惠城屬地招生1367人。
市實驗中學北校區面向仲愷高新區招生30人,仲愷中學(惠州一中班)面向惠城區和仲愷高新區招生200人,仲愷高級中學(創新班)面向惠城區招生200人,惠陽區豐湖高級中學(公辦收費)面向惠城區招生50人,華實高級中學(公辦收費)面向惠城區招生50人。
今年除個別學校外,全市民辦普通高中公辦生和民辦收費生繼續面向全市招生。同時,為進一步推動普通高中特色多樣化發展,各普通高中學校特長生計劃招生2309人,其中市直普通高中特長生全部面向全市招生?h(區)公辦普通高中特長生招生方面,除了惠東平山中學(女子籃球)、博羅華僑中學(籃球)、龍門中學(體育足球)、仲愷中學(體育足球)4個項目外,其他縣(區)公辦高中特長生均在屬地招生。
普高錄取志愿由原來6個批次整合為4個
記者從市教育局了解到,今年我市共有約7.5萬名中考考生,普通高中計劃招生46649人,中職(技工)院校計劃招生35500人。
考生將于5月19日至26日網上填報志愿,市教育局將為每位考生免費發放《招生指南》,考生和家長可按照學校統一要求,結合《招生指南》,在規定時間內填報好志愿。
在志愿填報方面,市教育局相關負責人告訴記者,今年對惠州普通高中學校中考招生錄取志愿批次進行優化調整,由原來6個批次整合為4個批次,便于家長和學生填報志愿。一是原專項批和特長批統一整合為特長批,同時取消了外招生批次,設為公辦普通高中(含民辦公費生)音體美特長批(1個志愿欄);二是普通高中第一批(3個志愿欄);三是普通高中第二批(8個志愿欄);四是民辦普通高中(民辦收費)音體美特長批(1個志愿欄),優化精簡后的志愿批次更便于考生家長理解和填報。
今年中考考試時間是6月26日~28日,各批次學校由市、縣(區)教育局統一劃線錄取,同步公布錄取分數線。普通高中學校錄取分數線預計在公布中考成績后10天左右公布。
今年全市新增公辦高中學位超1200個
我市通過加大投入,新建改擴建公辦普通高中學校,今年新增一批優質公辦高中學位。其中,新建惠州市實驗中學北校區(白鷺湖),新增432個公辦學位;新建大亞灣區第一中學(永達校區),本部和永達校區共新增566個公辦學位;同時加大力度推動民辦學校擴大公辦收費生指標,全市共新增公辦學位超過1200個。
規范招生行為,取消擇校生政策
市教育局相關負責人表示,今年中考招生,我市在規范普通高中招生行為的基礎上,將進一步嚴肅招生工作紀律。嚴格執行公辦普通高中取消擇校生政策;嚴禁普通高中學校招收“掛讀生”和變相招收“借讀生”,嚴禁人籍分離、空掛學籍;嚴禁跨地市招生,對招錄不在惠州市參加中考考生的學校,一律從嚴處理,違規招錄的學生一律不予錄入學籍;嚴禁發布虛假招生廣告、貶低他校等手段誤導考生填報志愿;嚴禁以口頭承諾、簽訂協議、減免費用、預收學費或定金等形式招攬生源;嚴禁通過任何方式進行有償招生。“對于2022年存在違規招生行為的學校,已通過約談、取消評優評先和核減招生計劃的方式予以處罰。今年如發現違法違規招生行為,一經查實,嚴肅處理。”該負責人說。
惠州日報記者涂堅
通訊員袁蘊華 陳聰
【熱點問答】
一、 什么是直分錄?有什么需要注意是事項?
惠州今年將繼續實施優質普通高中招生名額按比例分配至區域內初中學校(含民辦),并向薄弱初中、農村初中、革命老區(蘇區)初中傾斜的政策。每所優質普通高中學校招生名額直接分配比例不低于50%?忌鷮⒅狈种驹笇W校填報在普通高中第一批及普通高中第二批的第一志愿方為有效志愿。
舉例說明:如惠州中學今年分配到惠州市第五中學的直分指標有35個。那么,惠州市第五中學的考生中,在普通高中第一批第一志愿填報惠州中學的中考成績前35名,可以享受惠州中學的直分指標,降30分錄取。假設2023年惠州中學在惠城區的錄取分數線為630分,那么惠州市第五中學,第一志愿填報了惠州中學且分數在600分(含)以上的考生,都可以錄取到惠州中學。如果第一志愿填報惠州中學的考生630分以上超過35名,那么35名以外的考生將按照630分的錄取線錄取。特別要注意的是,非第一志愿填報的考生不能享受直分指標錄取。其余普通高中學校直分錄取方式相同。
二、普通高中的志愿是平行志愿嗎?請問是具體是什么意思?
平行志愿就是指同一批次的普通高中志愿中,錄取時按照分數高低、志愿先后原則進行錄取,同一批次的不同志愿為平行志愿。若未被第一志愿學校錄取的考生且其分數達到第二志愿學校的錄取分數線時,將被錄取到第二志愿學校,以此類推。
舉例說明:一個考生600分,第一志愿填A學校,第二志愿填B學校,另一個考生599分,第一志愿填B學校。那么,如果600分的考生第一志愿A學校未被錄取,在錄取第二志愿B學校時,依然會比考599分的考生優先投檔。
三、音體美特長生自主招生如何填報志愿及錄。
今年特長批有兩個批次,報考公辦普通高中學校(含民辦公費生)特長生招生的考生,有效志愿須填報在“公辦普通高中(含民辦公費生)音體美特長批”志愿批次欄;報考民辦普通高中特長生招生的考生有效志愿須填報在“民辦普通高中(民辦收費)音體美特長批”志愿批次欄。術科入圍考生,若未在相應批次志愿填報所報考學校,則該生報考特長生志愿無效。考生文化課中考成績不得低于2023年惠州市普通高中最低錄取分數控制線下30分。在符合該條件基礎上,特長生按考生有效志愿和綜合成績(術科權重:文化科權重=4:6)從高到低的排名由市教育局統一錄取。綜合成績=732.5×術科成績占其滿分比例×40%+中考成績×60%(考生生物、地理學業考成績均為D 以上)。
四、今年普通高中是否還有補錄?什么情況下可以補錄?
今年市、縣(區)教育主管部門在全市普通高中學校最低錄取分數控制線上對全市普通高中學校(含公、民辦)錄取完成后,若部分學校(含公、民辦)未完成招生計劃,則由市教育局統一組織未完成招生計劃的普通高中學校進行補錄。
補錄對象為參加我市2023年中考的考生,如考生在普通高中各批次中均未被錄取,且中考成績在我市普通高中最低錄取分數控制線以上,即可選擇參加補錄。
普通高中各批次分數線公布后,市教育局將通過市教育局網站、微信公眾號公布2023年全市公辦普通高中學校補錄計劃表及補錄途徑,請廣大考生和家長留意,考生可根據自身需求選擇填報。符合補錄條件但未填報補錄志愿的考生不參與補錄,參與補錄的考生一旦被錄取,原則上不得放棄錄取資格。




